
功能性近红外光谱成像(functional Near-Infrared Spectroscopy, fNIRS)是一种非侵入性的脑功能成像技术,近年来在认知神经科学、心理学、教育学和医学等领域得到了**应用。fNIRS通过近红外光探测脑组织中的血氧变化,提供与脑活动相关的信息。
fNIRS基于近红外光(650-900 nm)在生物组织中的相对透明性,利用近红外光照射头皮,检测反射或透射光的变化,以推测脑血氧浓度的变化,其原理基于近红外光在生物组织中的光学特性和血液中的血红蛋白的吸光特性。大脑活动时,局部血氧饱和度会发生改变,fNIRS通过监测这种变化来间接测量脑功能活动。
1.持续波法(Continuous Wave, CW)
持续波法是fNIRS中*常用的方法,主要依赖于恒定强度的近红外光源。
引用:Reddy, Pratusha & Izzetoglu, Meltem & Shewokis, Patricia & Sangobowale, Michael & Diaz-Arrastia, Ramon & Izzetoglu, Kurtulus. (2021). Evaluation of fNIRS signal components elicited by cognitive and hypercapnic stimuli. Scientific Reports. 11. 10.1038/s41598-021-02076-7.
2.时间分辨法(Time-Resolved, TR)
时间分辨法利用脉冲光源,通过测量光子在组织中传播的时间分布,获取组织的光学特性。
引用:Abdalmalak A, Milej D, Yip LCM, Khan AR, Diop M, Owen AM and St. Lawrence K (2020) Assessing Time-Resolved fNIRS for Brain-Computer Interface Applications of Mental Communication. Front. Neurosci. 14:105. doi: 10.3389/fnins.2020.00105
3.频率调制法(Frequency Domain, FD)
频率调制法通过调制光源的频率,分析光在组织中的相位和振幅变化。
引用:van Essen, T., Goos, T.G., van Ballegooijen, L. et al. Comparison of frequency-domain and continuous-wave near-infrared spectroscopy devices during the immediate transition. BMC Pediatr 20, 94 (2020). https://doi.org/10.1186/s12887-020-1987-4
4.高密度fNIRS(High-Density fNIRS, HD-fNIRS)
高密度fNIRS采用高密度的光源和探测器排列,覆盖更大面积的头皮区域,提供高空间分辨率的脑功能图像。
引用:Yamashita, Okito & Shimokawa, Takeaki & Aisu, Ryota & Amita, Takashi & Inoue, Yoshihiro & Sato, Masa-aki. (2016). Multi-subject and multi-task experimental validation of the hierarchical Bayesian diffuse optical tomography algorithm. NeuroImage. 135. 10.1016/j.neuroimage.2016.04.068.
5.多模态成像(Multimodal Imaging)
多模态成像结合fNIRS与其他成像技术(如fMRI、EEG)进行联合测量,以提供更**的脑功能信息。
引用:Kim, JunHyun & Jeong, Minhong & Stiles, Wesley & Choi, Hak. (2022). Neuroimaging Modalities in Alzheimer’s Disease: Diagnosis and Clinical Features. International Journal of Molecular Sciences. 23. 6079. 10.3390/ijms23116079.
6.移动fNIRS(Mobile fNIRS)
移动fNIRS开发便携式、无线化的fNIRS设备,适用于自然环境下的脑功能研究。
引用:Zhang, X., Wang, Q., Li, J. et al. An fNIRS dataset for driving risk cognition of passengers in highly automated driving scenarios. Sci Data 11, 546 (2024). https://doi.org/10.1038/s41597-024-03353-6
7.功能连接性分析(Functional Connectivity Analysis)
功能连接性分析通过分析不同脑区之间的协同活动,研究脑功能网络。
引用:Li, Lin & Babawale, Olajide & Yennu, Amarnath & Trowbridge, Cynthia & Hulla, Ryan & Gatchel, Robert & Liu, Hanli. (2018). Whole-cortical graphical networks at wakeful rest in young and older adults revealed by functional near-infrared spectroscopy. 5. 1. 10.1117/1.NPh.5.3.035004.
1.实验设计
2.设备校准
3.数据采集
1.预处理
2.信号分离
3.光学密度变化计算
其中, (t)为某时刻的光强度, 0为基线光强度。
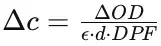
4.血氧浓度变化计算
其中,ϵ为吸收系数,d为光程长度,DPF为光程校正因子。
5.统计分析
6.结果可视化
——fNIRS**分析必用的一款开源工具包。
NIRS_SPM基于SPM工具包和Matlab平台,可以识别目前主流fNIRS厂商设备采集的数据格式,它基于一般线性模型GLM对fNIRS进行**分析和统计(一阶分析和组分析)。此外,NIRS_SPM还具有对数据的简单预处理(比如说滤波等)、通道的定位(如输出每个通道的MNI坐标等)、ROI分析、时间序列分析等功能。
Homer是一款基于MATLAB的工具包,是fNIRS数据的分析和显示的一个常用的**开源平台。其包含有丰富的处理函数可以通过GUI界面灵活选择设置处理流,从而对fNIRS 数据进行预处理。单就运动伪迹去除就提供了多种常用的方法,如样条插值(Spline)、主成分分析(PCA)、小波分析(Wavelet)等。论是Homer3还是Homer2(目前不更新及维护了),但这两个的**功能和函数是不变的。
FC-NIRS 是一款用于近红外光谱数据的功能连通性分析工具,该软件由北京师范大学开发设计。它的功能包括功能连接分析、可视化和网络分析,还具有信号质量控制和批处理功能。该工具包包含Homer,因此可以进行预处理。
fNIRSOFT 是一个**软件包,旨在通过图形用户界面和/或脚本(用于自动化)处理、分析和可视化功能性近红外光谱信号。
该软件是一款付费软件,分为标准版和专业版。标准版具有基本的数据处理功能,如通过 GUI 进行时间可视化、基本降噪、预处理、时间序列分析和空间可视化等。而专业版额外增加了自动信号质量检查,消除饱和和有问题的通道,运动伪影去除算法,用于特征提取的高级信号处理算法,大脑表面图像上的大脑映射和可视化,具有阈值、动画(时间变化)或组/主题/条件平均值的左/右/背视图。
NeuroDOT_Beta是一个可扩展的**Matlab 工具箱,与Matlab2015版兼容,包含 4 个文件夹:Data、Documentation、Functions和 Support_Files。
Nirstorm是Brainstorm工具包的一款**开源插件,主要用于EEG/MEG的溯源分析,但是借助如Nirstorm可以用于fNIRS数据的分析。该软件具有滤波、降噪、运动矫正、MBLL、窗口平均,使用GLM进行统计分析等多种功能。
PHOEBE(Placeing Headgear Optodes Efficiently Before Experiment) 是一款基于MATLAB的开源工具包,具有GUI界面,可实时测量和显示 fNIRS 光极与受试者头皮之间的光耦合。PHOEBE 的主要目标是帮助实验者以高效的方式优化 fNIRS 光极的信号质量。








