
跑步相关损伤(RRI)是由训练疲劳错误和异常生物力学共同导致的。通过MAX加速度测量的冲击阻抗是与RRI相关的运动生物力学的重要标准。足部着地模式可以减轻跑步者的冲击负担本文将比较使用鞋垫嵌入式IMU测量时与后足(RFS)、中足(MFS)和前足(FFS)击球模式相关的峰值高度信号。
健康的跑步者按照习惯的脚步模式在跑步机上以清晰不同的速度(2.5、3.0和3.5 m/s,随机顺序)跑步1分钟。将嵌入鞋垫的IMU放置在标准化中性缓冲鞋内,以测量冲击时的MAX合成加速度、垂直高度和纵向高度。脚部着地模式由两种丰富的观察者确定,并采用高速视频进行评估。线性效应混合效应模型用于定制足部触觉模式与MAX合成高度、垂直高度和前后高度之间的关系。
来自垫嵌入 IMU 的加速度计数据以 500 Hz 采样。原始加速度数据从 IMU 导出到 CSV 文件中以进行信号处理。使用 Python 3.7.6(Python 软件基金会,比弗顿,美国)中的 Python 自定义代码处理离散变量和加速度数据,对于三个试验中的每一个试验,每只脚连续迈出30步。一旦参与者达到并舒适地跑步,从1分钟数据收集窗口的中间开始连续30步步。传感器的是这样的:垂直轴垂直于鞋楦,纵向轴沿着鞋的脚跟-桨鞋楦定向。因此,术语“垂直”和“横向”是相对于鞋/传感器而不是全局坐标系来定义的。使用垂直、纵向和纵向加速度计算合成加速度。由于冲击频率范围为 40 至 60 Hz,使用 75Hz 的采样频率来确保*从采样频率信号中去非生理频率。通过采样来自 IMU 的采样频率数据频率为75 Hz的低通四阶巴特沃斯滤波器进行触发。在垂直计信号达到峰值前1毫秒,从垂直计信号中识别出初始接触(图2)。垂直计信号的主要结果是顶部垂直高度、底部高度和合成高度。
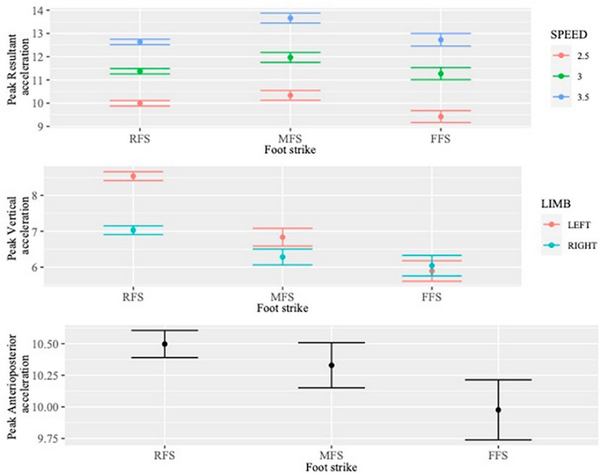
187 名参与者中有 81% 表现出 RFS 模式。当分别控制速度和肢体时,与 FFS 运动模式相比,RFS 模式与更高的峰值合成身高(0.29 SD;p = 0.029)和垂直高度(1.19) SD;p < 0.001)相关。但是,MFS 与合成方向上的MAX峰值高度相关(0.91 SD 与 FFS;p = 0.002 和 0.17 SD 与 RFS;p = 0.091)。FFS 模式与合成方向和垂直方向上的LWSTMAX高度相关。RFS 还与左右方向上显着更大的MAX高度相关(0.28 SD;p= 0.033)与 FFS 模式相关,而 MFS 和 FFS 模式之间没有差异。
所有和足部着地的平均MAX合成高度、纵向高度和横向速度分别为11.36±1.97、7.51±2.21和10.43±1.87g(示意纵向曲线图2)。较终的标准化统计模型如表3 、 4(非标准化模型如补充表如图1、2所示)。当控制跑步速度、肢体和跑步时,加速结果与足部着地模式之间的调整如图3所示。
MAX合成加速度的较终标准化模型包括脚步着地和速度之间的响应项。相对于RFS,在2.5 m/s时,FFS具有统计上较低的平均MAX合成加速度,估计为0.29 SD(95% CI) :-0.55,-0.03;p = 0.029),小于与RFS相关的机动(控制肢体)和速度。
MFS 与合成方向上的MAX峰值高度相关(0.91 SD 与 FFS;95% CI:0.34, 1.49;p = 0.002和 0.17 SD 与 RFS;95% CI:-0.03, 0.37;p= 0.091),尽管该结果在RFS和MFS之间并不具有统计显着性。
与回答项相关的结果表明,在较快的速度下,RFS和FFS之间的急剧合成加速度差异在统计上显着下降(3.0 m/s:0.24 SD;p = 0.012 和 3.5 m/s: 0.34 SD ;p = 0.001 ),而 RFS 和 MFS 之间的差异*在 3.5 m/s 速度时增加(0.35 SD;p = 0.001)。
较终模型的MAX垂直高度包括足部触觉和肢体之间的响应项。相对于左肢的RFS、MFS和FFS的MAX垂直高度在统计学上较低,估计为0.77 SD(95% CI) :-0.99,-0.55;p < 0.001)和 1.19 SD(95% CI:-1.46) ,-0.93;p < 0.001)分别低于与 RFS 相关的机动(控制肢体和速度)。
与交互项相关的结果表明,右肢的足部传导模式之间的差异小于左肢。具体而言,RFS 和 MFS 之间(0.43 SD;p < 0.001)以及 RFS 和 FFS 之间(0.75 SD; p < 0.001)之间的MAX垂直度变化显着着下降。< 0.001),分别为右肢。
较终模型的MAX旋转速度不包括足部触觉与速度或肢体之间的任何响应项。相对于RFS,在控制肢体和速度的情况下, FFS的MAX旋转速度在统计上较低,估计为 0.28 SD(95% CI:-0.53,-0.02;p = 0.033),低于 RFS 相关主轴。相对于 RFS,MFS 的升高伺服加速度没有统计偏差。
研究结果表明,在比较冲击闪电时,运动者应按 RFS、MFS 和 FFS 分组,而不是按照常见做法将 MFS 和 FFS 分组为 RFS 运动者。 其次,这项研究是表现出不同习惯足部研究结果还表明,当冲击模式的冲击加速度的大小时,速度可能是比脚步模式更重要的分量。
►如果您想了解更多相关研究产品,请联系我们免费咨询更多相关资讯哦。